工程问题

当前位置:首页>>工程资讯>>工程问题

如何快速估算七氟丙烷灭火系统防护区的药剂用量和泄压面积?

作者: 消防改造安装 时间:2019-08-16 12:15:25 来源:http://www.zmjaxf.com/
摘要:数据怎么来的?往下看。 根据《气体灭火系统设计规范》GB50370-2005 图书、档案、票据和文物资料库等防护区,灭火设计浓度宜采用10%。 油浸变压器室、带油开关的配电室和自备发电机...

  数据怎么来的?往下看。

  根据《气体灭火系统设计规范》GB50370-2005

  图书、档案、票据和文物资料库等防护区,灭火设计浓度宜采用10%。

  油浸变压器室、带油开关的配电室和自备发电机房等防护区,灭火设计浓度宜采用9%。

  通讯机房和电子计算机房等防护区,灭火设计浓度宜采用8%。

  3.3.14灭火设计用量或惰化设计用量和系统灭火剂储存量,应符合下列规定:

  1.防护区灭火设计用量或惰化设计用量应按下式计算:

防护区灭火设计用量或惰化设计用量

  式中W——灭火设计用量或惰化设计用量(kg);

  C1——灭火设计浓度或惰化设计浓度(%);

  S——灭火剂过热蒸汽在101KPa大气压和防护区最低环境温度下的质量体积(m3/kg);

  V——防护区的净容积(m3);

  K——海拔高度修正系数,可按本规范附录B的规定取值。

  2.灭火剂过热蒸汽在101KPa大气压和防护区最低环境温度下的比容,应按下式计算:

  

灭火剂过热蒸汽在101KPa大气压和防护区最低环境温度下的比容

  式中T——防护区最低环境温度(℃)。

  存放图书、档案等跟纸张、磁带、光盘等有关的防护区,以100立方米的防护区,海拔系数为0,钢瓶剩余量为3公斤计算,则100立方米需要85公斤的药剂。折算后,每立方米需要0.85公斤七氟丙烷

  发电机房、配电室、UPS间等防护区以100立方米的防护区,海拔系数为0,钢瓶剩余量为3公斤计算,则100立方米需要76公斤的药剂。折算后,每立方米需要0.76公斤七氟丙烷

  计算机房、微机房等防护区的以100立方米的防护区,海拔系数为0,钢瓶剩余量为2公斤计算,则100立方米需要66公斤的药剂。折算后,每立方米需要0.66公斤七氟丙烷

  根据《气体灭火系统设计规范》GB50370-2005

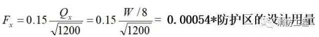
  3.3.13防护区的泄压口面积,宜按下式计算:

  3.3.13防护区的泄压口面积,宜按下式计算:

 

  式中Fx——泄压口面积(m2);

  Qx——灭火剂在防护区的平均喷放速率(kg/s);

  Pf——围护结构承受内压的允许压强(Pa)。

  根据规范3.2.6防护区围护结构承受内压的允许压强,不宜低于1200Pa

  Pf取值一般为1200。

  防护区的平均喷放速率Qx=设计用量/喷射时间。

  设计用量根据防护区的用途和体积计算确定(用途不同,设计浓度不同,设计用量不同。)

  喷放时间按规范条文3.3.7确定。

  3.3.7在通讯机房和电子计算机房等防护区,设计喷放时间不应大于8s;在其它防护区,设计喷放时间不应大于10s。

  防护区的平均喷放速率Qx=设计用量(KG)/喷射时间(s)

  喷放时间8至10秒,按最小的8秒取值。

  则泄压口的计算公式如下:

 

 
 
 

 



江苏苏州智淼消防安装工程公司主营:北京消防施工安装,消防工程设计,消防维修改造,消防设备检测,消防验收代办,消防维修保养,探测器清洗,消防检测设备,智慧消防物联网,消防设备销售安装及调试为一体的正规化消防企业。消防改造网址:http://www.zmjaxf.com/服务热线:4006-598-119

联系我们
Contact
联系我们
我们很想听到您的声音

400电话:4006-598-119

联系电话:18751140119

公司传真:0512-52847706

手机号码:18910580194

客服QQ:1334605518

Email:1334605518@qq.com

地址:江苏省苏州市常熟市黄河路275号城市之星119室

专业提供消防工程施工整体解决方案

全国服务热线:18910580194

立即预约

ABOUT US

关于我们

智淼消防工程技术有限公司

智淼君安(江苏)消防工程技术有限公司,是一家专业从事消防工程设计、消防弱电施工、消防改造、报建、消防维修维保、消防检测的消防企业;销售火灾自动报警系统各种品牌、智慧消防设备、消防物联网系统、一二级消防检测设备仪器、自动灭火系统、室内外消火栓系统、防排烟设施系统、灭火器、防火 了解详情+
智淼消防工程技术有限公司
专业的技术·全新的施工安装服务,咨询热线:18910580194
智淼君安(江苏)消防工程技术有限公司

智淼君安(江苏)消防工程技术有限公司主要业务有火灾报警系统的销售、设计、安装、消防维修及消防工程改造,消防施工,消防工程改造,消防维保,一二级消防检测设备,探测器清洗,消防检测,气体灭火系统安装,电气火灾系统施工安装,消防喷淋水系统安装,防火门系统施工安装等...

+MORE

消防改造Installation and commissioning 消防维修Inspection and maintenance

物业项目业主户内消防改造安全管控要点
物业项目业主户内消防改造安全管控要点

物业项目业主户内消防改造安全管控要点检查了很多高层住宅项目和带底商的项目,消防的一个难点就是:故障点位多!一排查,原因多是业主户内装修,改了(取消)消防。一说整改就是业主户内装修完成了,改造费用高……那么这类消防故障该如何避免或者整改呢?作为物业工作人员,如何在服务业主,满足合理需求的同时,守住消防 [详情]

服务支持Support

消防工程

MORE+ 工程问题/ FAQ

工程中设置了A型消防应急灯具,水泵房、机房、中控室是否也应用A型灯具?
问题:工程中设置了A型消防应急灯具,其水泵房、机房、中控室消防应急灯具是否也应采用A型灯具?回答:消防应急灯具的设置应按照《应急照明和疏散指示系统技术标准》GB 51309-2018第“3.2灯具”的要求执行。依据山东省建设工程消防设计审查验收疑难解析2.0附GB51309-2018《消防应急照明和疏散指示系统技术标准》第3.2.1条 第...
水锤消除止回阀、水锤消除器、囊式气压水罐的区别及应用?
水锤消除止回阀、水锤消除器、囊式气压水罐的区别及应用?根据《消防给水及消火栓系统技术规范》 GB50974-2014>8.3.3 消防水泵出水管上的止回阀宜采用水锤消除止回阀,当消防水泵供水高度超过24m时,应采用水锤消除器。当消防水泵出水管上设有囊式气压水罐时,可不设水锤消除设施。那么消除止回阀、水锤消除器、囊式气压...
防火卷帘正卷超限、反卷超限、中位的区别及应用?
防火卷帘正卷超限、反卷超限、中位的区别及应用?正卷超限、反卷超限、中位是防火卷帘实现准确控制的重要概念,根据《防火卷帘 第3部分:防火卷帘控制器 》GB14102.3-2024 >术语可知:正卷超限是指由故障引起的防火卷帘到达上限位后不能停止的现象;反卷超限是指由故障引起的防火卷帘到达下限位后不能停止的现象;中位是...
消防水池通气管、呼吸管、溢流水管的区别及应用?
消防水池通气管、呼吸管、溢流水管的区别及应用?通气管、呼吸管、溢流水管是消防水池重要的三条管,根据《消防给水及消火栓系统技术规范》GB50974-2014 >4.3.9 消防水池的出水、排水和水位应符合下列规定:3 消防水池应设置溢流水管和排水设施,并应采用间接排水。4.3.10 消防水池的通气管和呼吸管等应符合下列规定:1...
消防的“单人值班”是人工智能全面进入消防领域的前奏?
消防在当下都是“计划经济”或者“权力经济”,不讲绩效,不讲品质的一个扭曲的变态产业,直至“单人值班”在全国风风火火的搞起来,人们才发现这是一个万亿级被“计划”耽误的巨大市场经济的新地点,10万亿级的产业呼之欲出。当然这个产业必须建立在中国特色市场经济规律之下,才是一个可以投资的产业,否则还只是一个...